Podocalyxin(PODXL)單克隆抗體
日期:2017-08-11 09:57:22
一、PODXL的結構特征
PODXL屬于CD34家族成員之一,是富含負電荷的唾液黏蛋白,屬于I型跨膜糖蛋白,包括高度唾液酸化的胞外結構域和一個短小的胞質尾區,其中胞外結構域包含大量可與N-和O-結合的糖基化位點,尾區帶有蛋白磷酸化結合位點。

圖片來自:文獻【The Role of Podocalyxin in Health and Disease】
PODXL’s structure. Podocalyxin has an extensively O-glycosylated (ver-tical lines) and sialylated (triangles) extracellular mucin domain (purple), several sites of N-glycosylation (red circles), and a cysteine-containing globular domain (green). This is followed by a juxtamembrane stalk (blue), a single-pass transmembrane domain (pink), and an intracellular domain (green) with putative phosphorylation sites and a C-terminal DTHL sequence for interaction with PDZ domains.
PODXL又稱為PODXL樣蛋白1,由腎小球內皮細胞和足細胞合成,在足細胞成熟過程中固定于腎小球足細胞頂膜。此外,也存在于腎小球內皮細胞和壁層上皮細胞、造血干細胞、血管內皮細胞、神經元細胞以及腫瘤細胞。
二、PODXL的主要功能
PODXL位于質膜上,遍及整個細胞體分布,不依賴裂孔隔膜的完整而能夠保持穩定,PODXL已成為足細胞診斷中最穩定的標記物。PODXL主要表達在腎小球上皮細胞而不表達于其他的尿道上皮細胞,故用它來定量檢測尿中足細胞的脫落,對評價腎小球疾病中足細胞的損傷具有臨床意義。
三、PODXL單克隆抗體(CSB-MA134471A0m)的應用
我們生產的PODXL單克隆抗體可應用于ELISA、WB、IHC、IF、IP、FC檢測。
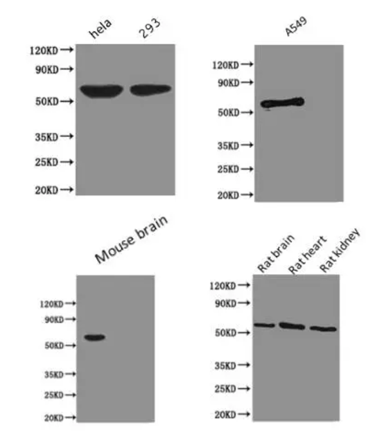
WB:
4D2G7細胞株生產的抗體(1:250)在天然樣本Hela、293、A549中檢測,出現目的條帶(59 KD),且可以識別小鼠腦組織(1:1500)和大鼠腦、心、腎組織(1:500)中出現目的帶。
IHC:
4D2G7在子宮內膜癌和腎里面表達強烈,呈明顯陽性。在睪丸、胰腺癌、肺癌、胃癌中未檢測到陽性信號。
IF:

4D2G7細胞株產生的抗體在Hela、PC3、A549、Ntera2中檢測到陽性信號且定位于質膜。
IP:
在IP實驗中,4D2G7細胞株產生的抗單克隆體在293中檢測到陽性信號。
FC:

4D2G7-Hela
PODXL單抗的流式分析發現,在Hela細胞中檢測到強陽性信號,且發光強度為105是無關對照組細胞發光強度的100倍。其他公司生產的該單抗的流式檢測結果[實驗組細胞組發光強度/無關對照組細胞發光強度]主要集中在5-30倍。






